

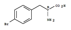
CasNo: 62561-74-4
分子式: C9H10BrNO2
包装: 25kg
技术指标: >99.0%
| 产品名称 Product Name | D-4-溴苯丙氨酸 D-4-bromophenylalanine | ||||
CAS NO | 62561-74-4 | 数 量 Quantity | 35 kg | ||
| 批 号 Batch No. | HYA20110731 | 有效期 Valid Period | 2 年 | ||
| 检测项目 Test Item | 标准值 Specifications | 实测值 Test Results | |||
| 外 观 Appearance | 类白色粉末 | 类白色粉末 | |||
旋光度Specific Rotation (20/D) | + 21° + 2° ( C=1, 水) | + 22.5 ° ( C=1, 水) | |||
| 灼烧残渣 Residues On Ignition | ≤0.1% | 0.06% | |||
| 干燥失重 Loss On Drying | ≤0.5% | 0.28% | |||
| 薄层色谱分析 TLC Analysis | One spot | One spot | |||
| 化学纯度 Assay(HPLC) | ≥98 % | 99.2% | |||
| 光学纯度 e.e | ≥99 % | 99.8% | |||